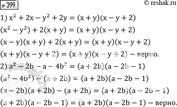
Упр.399 ГДЗ Колягин Ткачёва 7 класс (Алгебра)
Решение #1

Рассмотрим вариант решения задания из учебника Колягин, Ткачёва, Фёдорова 7 класс, Просвещение:
399. Доказать равенство:
1) x^2+2x-y^2+2y=(x+y)(x-y+2);
2) a^2-2b-a-4b^2=(a+2b)(a-2b-1).
*размещая тексты в комментариях ниже, вы автоматически соглашаетесь с пользовательским соглашением