Упр.390 ГДЗ Колягин Ткачёва 11 класс (Алгебра)
Решение #1
Решение #2

Рассмотрим вариант решения задания из учебника Колягин, Ткачёва, Фёдорова 11 класс, Просвещение:
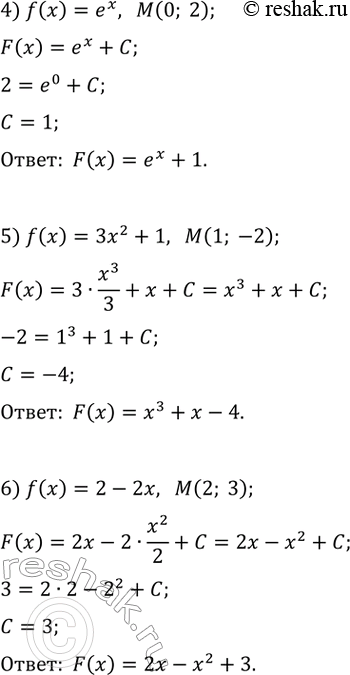
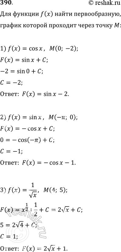
390. Для функции f(х) найти первообразную, график которой проходит через точку М, если:
1) f(х) = cosx, М(0; -2);
2) f(x) = sinx, М(-пи; 0);
3) f(х)= М(4; 5);
4) f(х) = еx, М(0; 2);
5) f(х) = 3х2 +1, М(1; -2);
6) f(х) = 2 - 2х, M(2; 3).
*размещая тексты в комментариях ниже, вы автоматически соглашаетесь с пользовательским соглашением