Упр.37 ГДЗ Колягин Ткачёва 10 класс (Алгебра)
Решение #1
Решение #2

Рассмотрим вариант решения задания из учебника Колягин, Ткачёва, Фёдорова 10 класс, Просвещение:
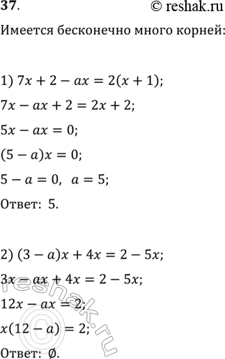
Установить, при каком значении а любое число является корнем уравнения:
1) 7х + 2 - ах = 2(х + 1);
2) (3 - а)х + 4х = 2 - 5х.
*размещая тексты в комментариях ниже, вы автоматически соглашаетесь с пользовательским соглашением