Упр.358 ГДЗ Колягин Ткачёва 11 класс (Алгебра)
Решение #1
Решение #2

Рассмотрим вариант решения задания из учебника Колягин, Ткачёва, Фёдорова 11 класс, Просвещение:
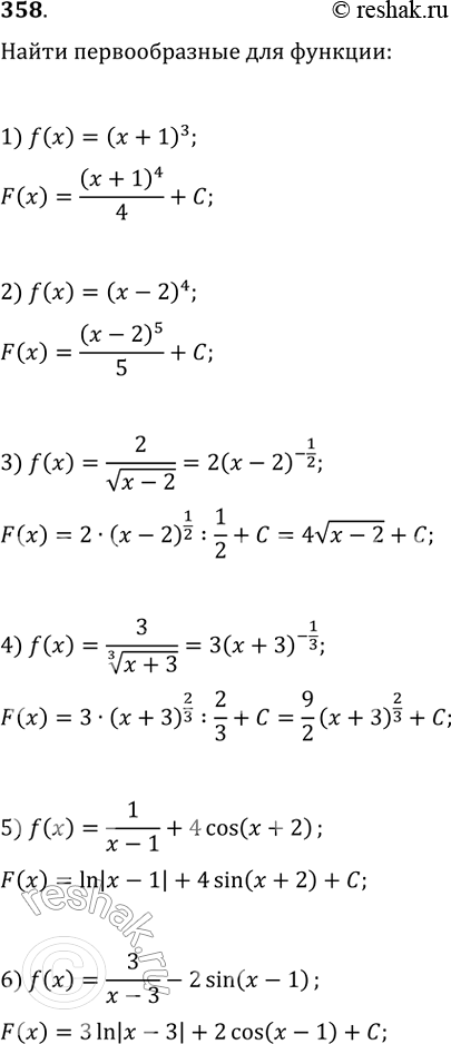
358. 1) (x+1)3;
2) (x-2)4;
3) 2/корень x-2;
4) 3/ корень 3 степени x+3;
5) 1/x-1 + 4cos(x+2);
6) 3/x-3 - 2sin(x-1).
*размещая тексты в комментариях ниже, вы автоматически соглашаетесь с пользовательским соглашением