Упр.353 ГДЗ Никольский Потапов 8 класс (Алгебра)
Решение #1

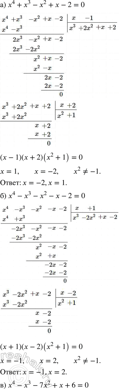
Рассмотрим вариант решения задания из учебника Никольский, Потапов 8 класс, Просвещение:
353. а) х4 + х3 - х2 + х - 2 = 0;
б) х4 - х3 - х2 - х - 2 = 0;
в) х4 - х3 - 7х2 + х + 6 = 0;
г) х4 + х3 - 7х2 - х + 6 = 0;
д) х4 + 2x3 - 3х2 - 8х - 4 = 0;
е) х4 + 4х3 + 3х2 - 4х - 4 = 0.
*размещая тексты в комментариях ниже, вы автоматически соглашаетесь с пользовательским соглашением