Упр.33 ГДЗ Никольский Потапов 7 класс (Алгебра)
Решение #1

Рассмотрим вариант решения задания из учебника Никольский, Потапов 7 класс, Просвещение:
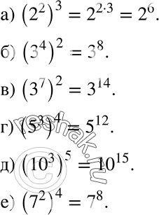
33. Используя свойство 3 степеней, запишите в виде степени:
а) (2^2)3;
б) (З^4)2;
в) (З^7)2;
г) (5^3)4;
д) (10^3)5;
е) (7^2)4.
*размещая тексты в комментариях ниже, вы автоматически соглашаетесь с пользовательским соглашением