Упр.329 ГДЗ Никольский Потапов 7 класс (Алгебра)
Решение #1

Рассмотрим вариант решения задания из учебника Никольский, Потапов 7 класс, Просвещение:
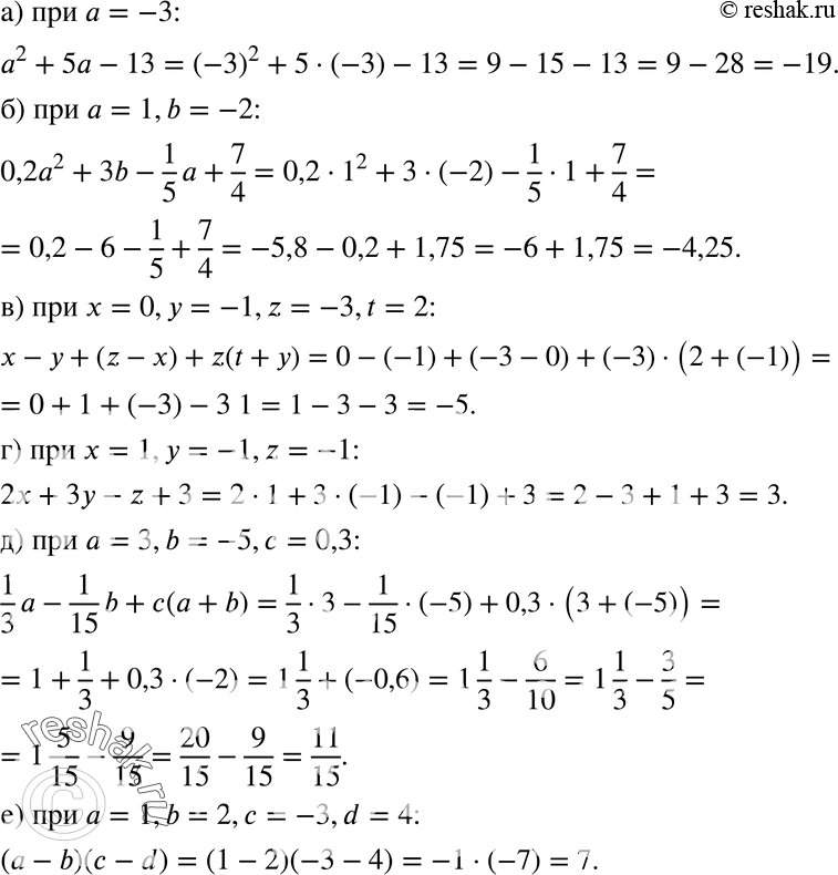
329. а) а2 + 5а - 13 при а = -3;
б) 0,2а2 + 3b - 1/5*а + 7/4 при а = 1, b = -2;
в) х — у + (z - х) + z (t + у) при х = О, у = -1, z = -3, t = 2;
г) 2x + Зу - z + 3 при х = 1, у = -1, z = -1;
д) 1/3*а - 1/15*b + с(а + b) при а = 3, b = -5, с = 0,3;
е) (а - b)(с - d) при а = 1, b = 2, с = -3, d = 4.
*размещая тексты в комментариях ниже, вы автоматически соглашаетесь с пользовательским соглашением