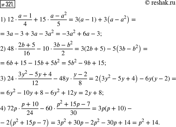
Упр.321 ГДЗ Муравин 7 класс (Алгебра)
Решение #1

Рассмотрим вариант решения задания из учебника Муравин, Муравина 7 класс, Дрофа:
321. Упростите выражение:
1) 12 · (a-1)/4 + 15 · (a-a^2)/5;
2) 48 · (2b+5)/16 - 10 · (3b-b^2)/2;
3) 24 · (3y^2 - 5y + 4)/12 - 48y · (y-2)/8;
4) 72p · (p+10)/24 - 60 · (p^2 + 15p - 7)/30.
*размещая тексты в комментариях ниже, вы автоматически соглашаетесь с пользовательским соглашением