Упр.310 ГДЗ Никольский Потапов 8 класс (Алгебра)
Решение #1

Рассмотрим вариант решения задания из учебника Никольский, Потапов 8 класс, Просвещение:
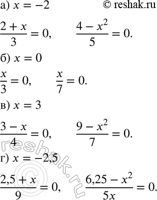
310. Запишите две алгебраические дроби, равные нулю при:
а) х = -2;
б) х = 0;
в) х = 3;
г) х = -2,5.
*размещая тексты в комментариях ниже, вы автоматически соглашаетесь с пользовательским соглашением