Упр.308 ГДЗ Никольский Потапов 7 класс (Алгебра)
Решение #1

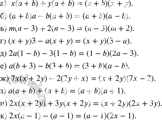
Рассмотрим вариант решения задания из учебника Никольский, Потапов 7 класс, Просвещение:
308 а) х(а + b) + у (а + b);
б) (а + b) а - b (а + b);
в) m(n - 3) + 2(n - 3);
г) (х + у)3 - а(х + у);
д) 2а(1 — b) — 3(1 — b);
е) а(b + 3) - b(3 + b);
ж) 7х(х + 2у) - 2(2у + х);
з) а (а + b) + (а + b);
и) 2х(х + 2у) + 3у(х + 2у);
к) 2х(а - 1) - (а - 1).
*размещая тексты в комментариях ниже, вы автоматически соглашаетесь с пользовательским соглашением