Упр.304 ГДЗ Никольский Потапов 8 класс (Алгебра)
Решение #1

Рассмотрим вариант решения задания из учебника Никольский, Потапов 8 класс, Просвещение:
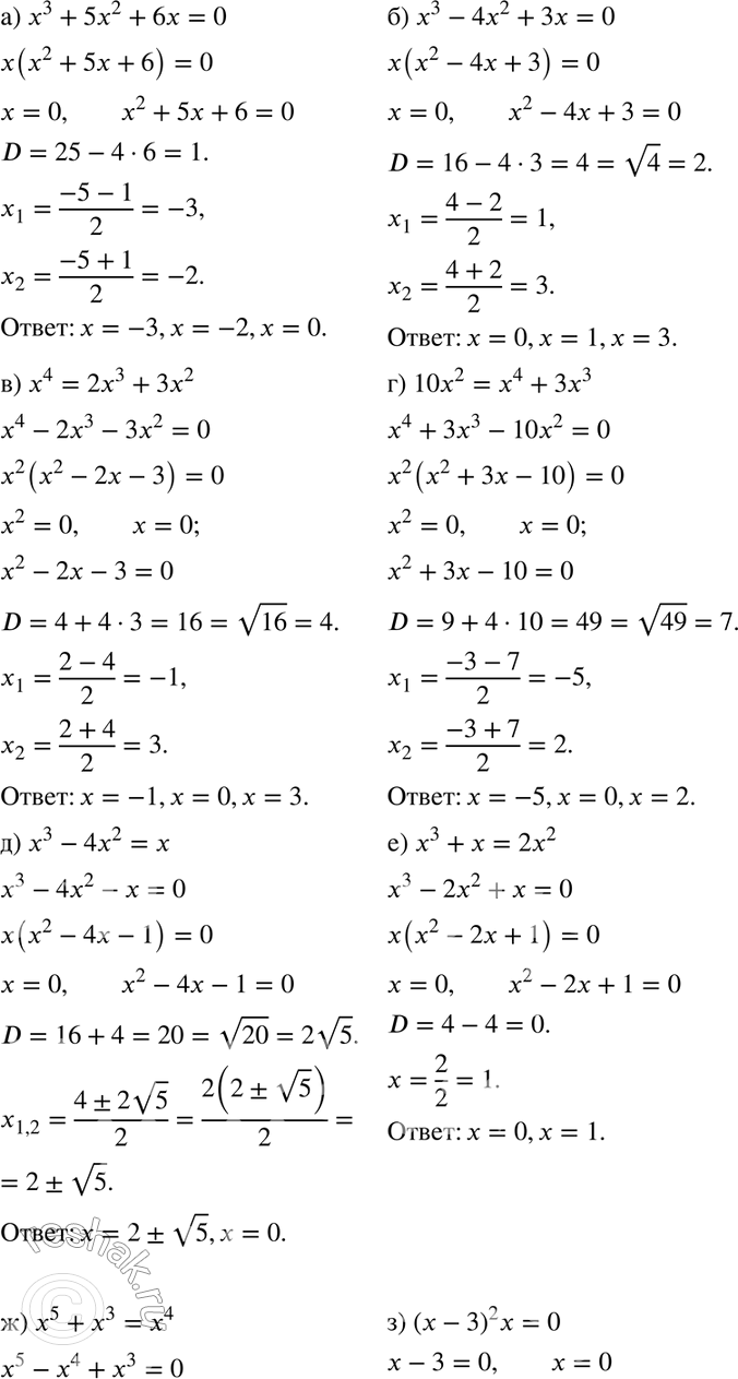
Решите уравнение (304—305):
304. а) х3 + 5х2 + 6х = 0;
б) х3 — 4х2 + 3х = 0;
в) х4 = 2х3 + 3х2;
г) 10х2 = х4 + 3х3;
д) х3 - 4х2 = х;
е) х3 + х = 2х2;
ж) х5 + х3 = х4;
з) (х - З)2 х = 0.
*размещая тексты в комментариях ниже, вы автоматически соглашаетесь с пользовательским соглашением