Упр.303 ГДЗ Колягин Ткачёва 10 класс (Алгебра)
Решение #1
Решение #2

Рассмотрим вариант решения задания из учебника Колягин, Ткачёва, Фёдорова 10 класс, Просвещение:
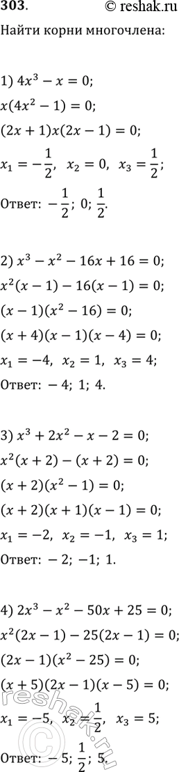
303. Найти корни многочлена третьей степени:
1) 4x3 - x;
2) x3-x2-16x + 16;
3) x3 + 2x2 - x- 2;
4) 2х3 - x2 - 50x + 25.
*размещая тексты в комментариях ниже, вы автоматически соглашаетесь с пользовательским соглашением