Упр.3.8 ГДЗ Мерзляк 11 класс Углубленный уровень (Алгебра)
Решение #1

Рассмотрим вариант решения задания из учебника Мерзляк, Номировский, Поляков 11 класс, Вентана-Граф, Просвещение:
3.8. Решите неравенство:
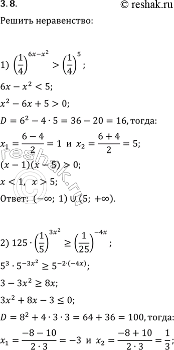
1) (1/4)^(6x-x^2)>(1/4)^5; 4) (sin(g/6))^(x-0,5)>v2;
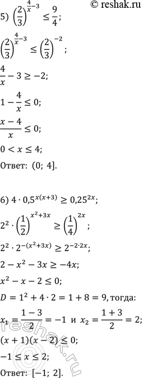
2) 125·(1/5)^(3x^2)>(1/25)^(-4x); 5) (2/3)^(4/x-3)<9/4;
3) 0,6^(x+5)/(x^2-9)<1; 6) 4·0,5^(x(x+3))>0,25^(2x).
*размещая тексты в комментариях ниже, вы автоматически соглашаетесь с пользовательским соглашением