Упр.286 ГДЗ Колягин Ткачёва 7 класс (Алгебра)
Решение #1

Рассмотрим вариант решения задания из учебника Колягин, Ткачёва, Фёдорова 7 класс, Просвещение:
286. Выполнить деление:
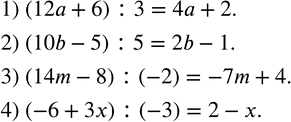
1) (12a+6) :3;
2) (10b-5) :5;
3) (14m-8) :(-2);
4) (-6+3x) :(-3).
*размещая тексты в комментариях ниже, вы автоматически соглашаетесь с пользовательским соглашением