Упр.25.15 ГДЗ Мерзляк 11 класс Углубленный уровень (Алгебра)
Решение #1

Рассмотрим вариант решения задания из учебника Мерзляк, Номировский, Поляков 11 класс, Вентана-Граф, Просвещение:
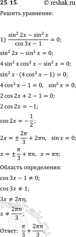
25.15. Решите уравнение:
1) (sin^2(2x)-sin^2(x))/(cos(3x)-1)=0; 2) (cos(x)+cos(3x)+2)/(sin(x/2)-1)=0.
*размещая тексты в комментариях ниже, вы автоматически соглашаетесь с пользовательским соглашением