Упр.243 ГДЗ Никольский Потапов 8 класс (Алгебра)
Решение #1

Рассмотрим вариант решения задания из учебника Никольский, Потапов 8 класс, Просвещение:
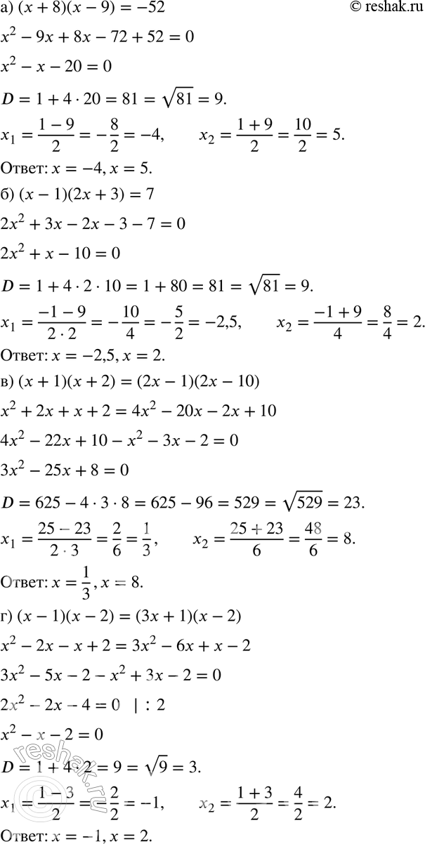
243. а) (х + 8)(х - 9) = -52;
б) (х - 1)(2х + 3) = 7;
в) (х + 1)(х + 2) = (2х - 1)(2х - 10);
г) (х - 1)(х - 2) = (3х + 1)(х - 2);
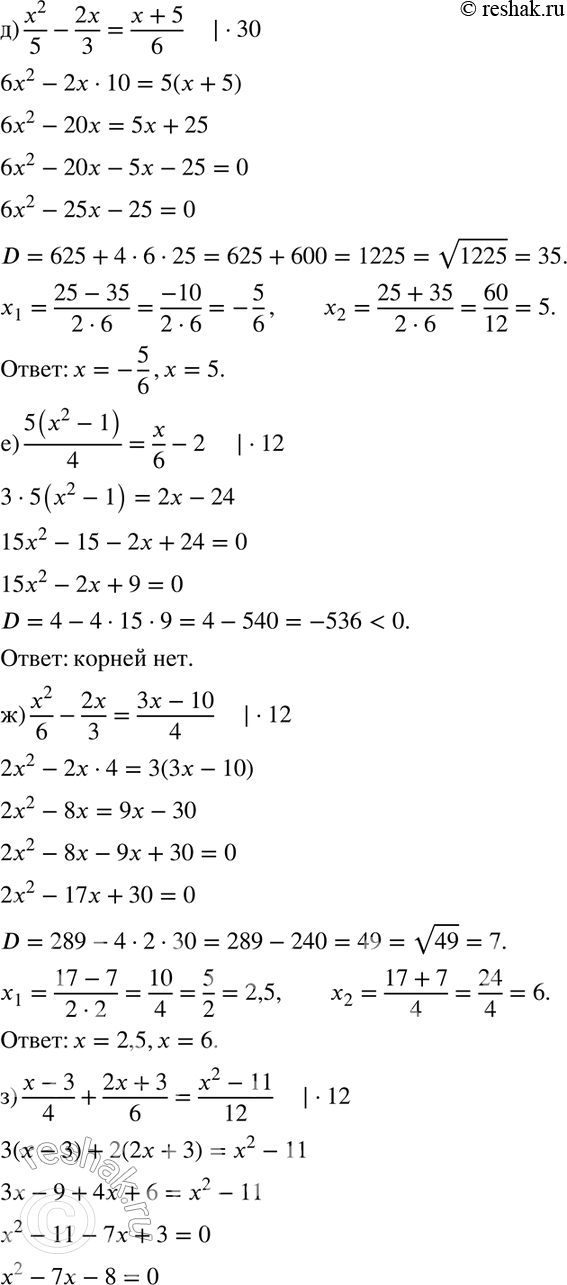
д)
е)
ж)
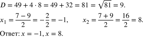
з)
*размещая тексты в комментариях ниже, вы автоматически соглашаетесь с пользовательским соглашением