Упр.234 ГДЗ Никольский Потапов 8 класс (Алгебра)
Решение #1

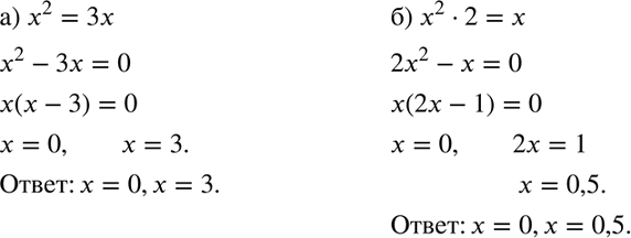
Рассмотрим вариант решения задания из учебника Никольский, Потапов 8 класс, Просвещение:
234. а) Квадрат натурального числа равен утроенному этому же числу. Найдите такое число.
б) Квадрат числа в 2 раза меньше самого числа. Найдите это число.
*размещая тексты в комментариях ниже, вы автоматически соглашаетесь с пользовательским соглашением