Упр.229 ГДЗ Никольский Потапов 8 класс (Алгебра)
Решение #1

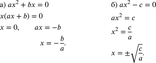
Рассмотрим вариант решения задания из учебника Никольский, Потапов 8 класс, Просвещение:
229. Запишите общий вид квадратного уравнения:
а) один корень которого равен нулю, а другой не равен нулю;
б) корни которого равны по абсолютной величине, но противоположны по знаку.
Как решается каждое из этих уравнений?
*размещая тексты в комментариях ниже, вы автоматически соглашаетесь с пользовательским соглашением