Упр.226 ГДЗ Колягин Ткачёва 10 класс (Алгебра)
Решение #1
Решение #2

Рассмотрим вариант решения задания из учебника Колягин, Ткачёва, Фёдорова 10 класс, Просвещение:
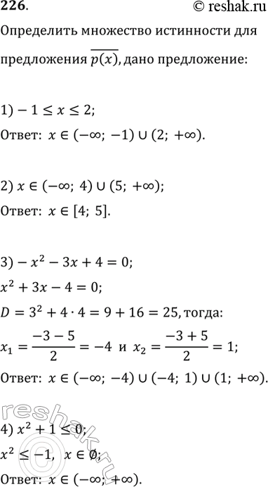
226. Найти множество истинности для преложения p(x), если дано предложение p(x):
1) -1 <= х <= 2;
2) х принадлежит (-бесконечность; 4) объединение (5; + бесконечность);
3) -х2 - 3х + 4 = 0;
4) х2 + 1 <= 0.
*размещая тексты в комментариях ниже, вы автоматически соглашаетесь с пользовательским соглашением