Упр.206 ГДЗ Колягин Ткачёва 11 класс (Алгебра)
Решение #1
Решение #2

Рассмотрим вариант решения задания из учебника Колягин, Ткачёва, Фёдорова 11 класс, Просвещение:
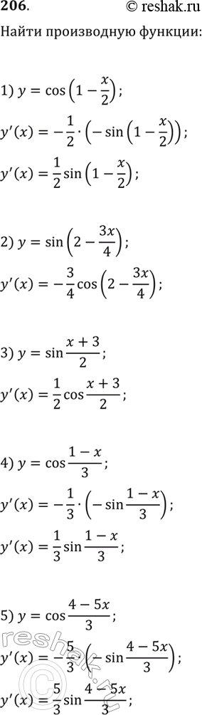
206. 1) cos(1-x/2);
2) sin(2-3x/4);
3) sin x+3/2;
4) cos 1-x/3;
5) cos 4-5x/3;
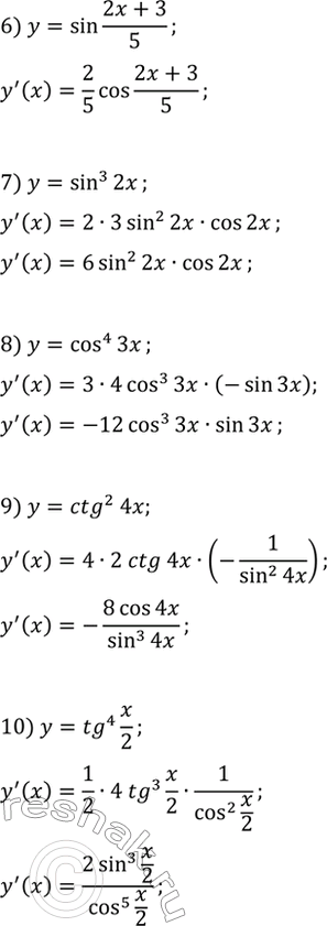
6) sin 2x+3/5;
7) sin3 2x;
8) cos4 3x;
9) ctg2 4x;
10) tg4 x/2.
*размещая тексты в комментариях ниже, вы автоматически соглашаетесь с пользовательским соглашением