Упр.19 ГДЗ Колягин Ткачёва 10 класс (Алгебра)
Решение #1
Решение #2

Рассмотрим вариант решения задания из учебника Колягин, Ткачёва, Фёдорова 10 класс, Просвещение:
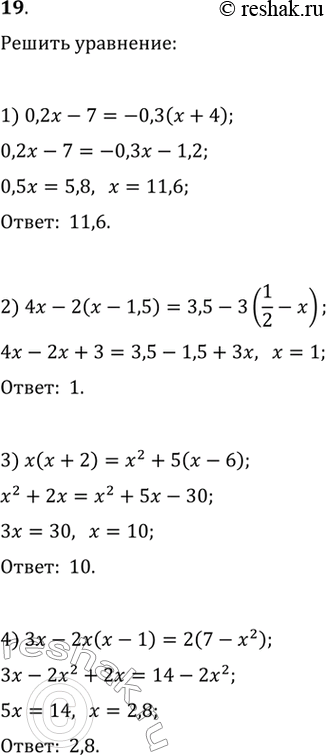
Решить уравнение (19—21).
1) 0,2x-7 = -0,3(х + 4);
2) 4х - 2(х -1,5) = 3,5 - 3(1/2 - x);
3) x(x + 2) — х2 + 5(х - 6);
4) 3x - 2х(х - 1) - 2(7 - х2).
*размещая тексты в комментариях ниже, вы автоматически соглашаетесь с пользовательским соглашением