Упр.181 ГДЗ Колягин Ткачёва 7 класс (Алгебра)
Решение #1

Рассмотрим вариант решения задания из учебника Колягин, Ткачёва, Фёдорова 7 класс, Просвещение:
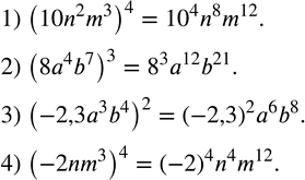
181. Возвести в степень произведение:
1) (10n^2 m^3 )^4;
2) (8a^4 b^7 )^3;
3) (-2,3a^3 b^4 )^2;
4) (-2nm^3 )^4.
*размещая тексты в комментариях ниже, вы автоматически соглашаетесь с пользовательским соглашением