Упр.16.4 ГДЗ Мерзляк 11 класс Углубленный уровень (Алгебра)
Решение #1

Рассмотрим вариант решения задания из учебника Мерзляк, Номировский, Поляков 11 класс, Вентана-Граф, Просвещение:
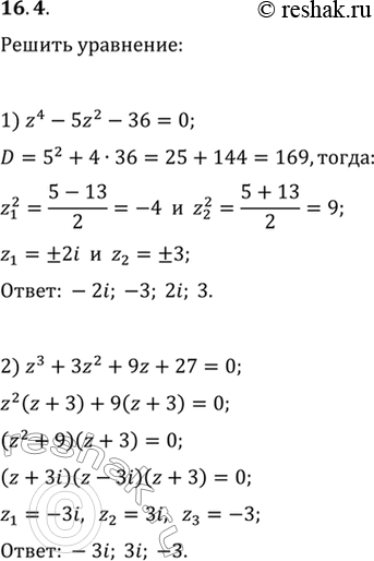
16.4. Решите уравнение:
1) z^4-5z^2-36=0; 3) z^4+9=0;
2) z^3+3z^2+9z+27=0; 4) z^3-(4-i)z^2+(7-i)z-4=0.
*размещая тексты в комментариях ниже, вы автоматически соглашаетесь с пользовательским соглашением