Упр.159 ГДЗ Никольский Потапов 8 класс (Алгебра)
Решение #1

Рассмотрим вариант решения задания из учебника Никольский, Потапов 8 класс, Просвещение:
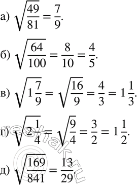
159. Вычислите:
а) корень 49/81;
б) корень 64/100;
в) корень 1*7/9;
г) корень 2*1/4;
д) корень 169/841.
*размещая тексты в комментариях ниже, вы автоматически соглашаетесь с пользовательским соглашением