Упр.148 ГДЗ Никольский Потапов 8 класс (Алгебра)
Решение #1

Рассмотрим вариант решения задания из учебника Никольский, Потапов 8 класс, Просвещение:
Вычислите (148—149):
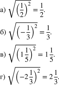
148 а) корень (1/2)2;
б) корень (-1/3)2;
в) корень (1*1/5)2;
г) корень (-2*1/3)2.
*размещая тексты в комментариях ниже, вы автоматически соглашаетесь с пользовательским соглашением