Упр.138 ГДЗ Колягин Ткачёва 11 класс (Алгебра)
Решение #1
Решение #2

Рассмотрим вариант решения задания из учебника Колягин, Ткачёва, Фёдорова 11 класс, Просвещение:
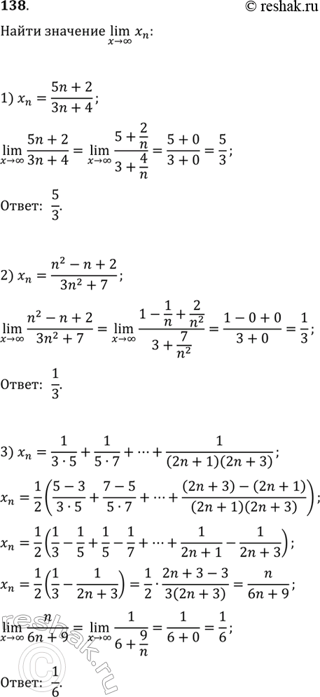
Найти lim n-> бесконечность xn (138—139).
138 1) xn=5n+2/3n+4;
2) xn=n2-n+2/3n2+7;
3) xn=1/3*5 + 1/5*7 + ... + 1/(2n+1)(2n+3);
4) xn=1+2+...+n/n2;
5) xn= корень 3n+5/2n-1;
6) xn= корень n2-n+2 - n.
*размещая тексты в комментариях ниже, вы автоматически соглашаетесь с пользовательским соглашением