Упр.117 ГДЗ Колягин Ткачёва 7 класс (Алгебра)
Решение #1

Рассмотрим вариант решения задания из учебника Колягин, Ткачёва, Фёдорова 7 класс, Просвещение:
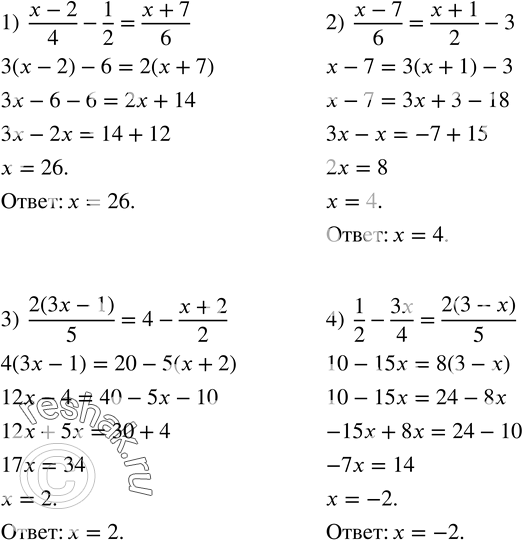
117. Решить уравнение:
1) (x-2)/4-1/2=(x+7)/6;
2) (x-7)/6=(x+1)/2-3;
3) 2(3x-1)/5=4-(x+2)/2;
4) 1/2-3x/4=2(3-x)/5.
*размещая тексты в комментариях ниже, вы автоматически соглашаетесь с пользовательским соглашением