Упр.106 ГДЗ Никольский Потапов 6 класс (Математика)
Решение #1

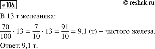
Рассмотрим вариант решения задания из учебника Никольский, Потапов, Решетников 6 класс, Просвещение:
106. Магнитный железняк содержит 70% чистого железа. Сколько тонн железа в 13 т железняка?
*размещая тексты в комментариях ниже, вы автоматически соглашаетесь с пользовательским соглашением