Упр.34.3 ГДЗ Мордкович Семенов 7 класс (Алгебра)
Решение #1

Рассмотрим вариант решения задания из учебника Мордкович, Семенов, Александрова 7 класс, Бином:
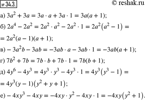
34.3. Разложите многочлен на множители с помощью вынесения общего множителя за скобки:
а) 3a^2 + 3a; г) 7b^2 + 7b;
б) 2a^4 - 2a^2; д) 4y^6 - 4y^3;
в) -3a^2 b - 3ab; е) -4xy^3 - 4xy.
*размещая тексты в комментариях ниже, вы автоматически соглашаетесь с пользовательским соглашением