Упр.23.3 ГДЗ Мордкович Семенов 7 класс (Алгебра)
Решение #1

Рассмотрим вариант решения задания из учебника Мордкович, Семенов, Александрова 7 класс, Бином:
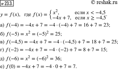
23.3. Дана функция у = f(x), где f(x) = {x^2, если x < -4,5; -4x + 7, если x ? -4,5}.
Вычислите:
а) f(-4); в) f(-4,5); д) f(-6);
б) f(-5); г) f(-2); е) f(0).
*размещая тексты в комментариях ниже, вы автоматически соглашаетесь с пользовательским соглашением